國家中醫優勢??平ㄔO單位和培育單位名單公布 確定1073個中醫優勢??平ㄔO單位和85個培育單位
近日,國家中醫藥管理局印發《關于公布國家中醫優勢??平ㄔO單位和培育單位名單的通知》,遴選確定了1073個國家中醫優勢??平ㄔO單位和85個國家中醫優勢??婆嘤龁挝?。
《通知》要求,各國家中醫優勢??扑卺t院要高度重視??平ㄔO工作,建立有利于??瓢l展的管理和運行機制,對??平o予充分的財力、人力、場地等方面的支持。各省級中醫藥主管部門要加強對本轄區內國家中醫優勢??平ㄔO的管理和指導,確保??平ㄔO取得實效。
據悉,國家中醫優勢??平ㄔO周期為4年,自文件公布之日起至2027年12月。
國家中醫藥管理局高度重視和大力推動中醫??平ㄔO,從“十五”到“十三五”期間,相繼建設了1496個國家中醫重點???、426個國家臨床重點??疲ㄖ嗅t專業)和221個區域中醫(??疲┰\療中心,涵蓋29個中醫專業、300多個中醫治療具有特色優勢的病種,地域分布覆蓋全國31個?。▍^、市),??扑趩挝桓采w省級、地市級和縣級中醫醫院(含中西醫結合醫院、民族醫醫院),形成了初具規模的??迫?。經過多年建設,大多數??瞥蔀樗卺t院的優勢專業、骨干科室,??苹A條件明顯改善,規模不斷擴大,服務量顯著增長,中醫藥特色優勢得到進一步發揮,綜合實力明顯增強,專業影響力進一步擴大,對其他科室起到了一定的示范帶動作用,促進了醫院整體水平的提升,并通過技術合作、對口幫扶等形式帶動了區域內中醫藥服務能力提升。
在此基礎上,2023年,國家中醫藥管理局啟動了國家中醫優勢??棋噙x工作,經省級推薦、形式審查、客觀指標評審、同行評議及公示等流程,形成了國家中醫優勢??平ㄔO單位和培育單位名單,此次予以公布。
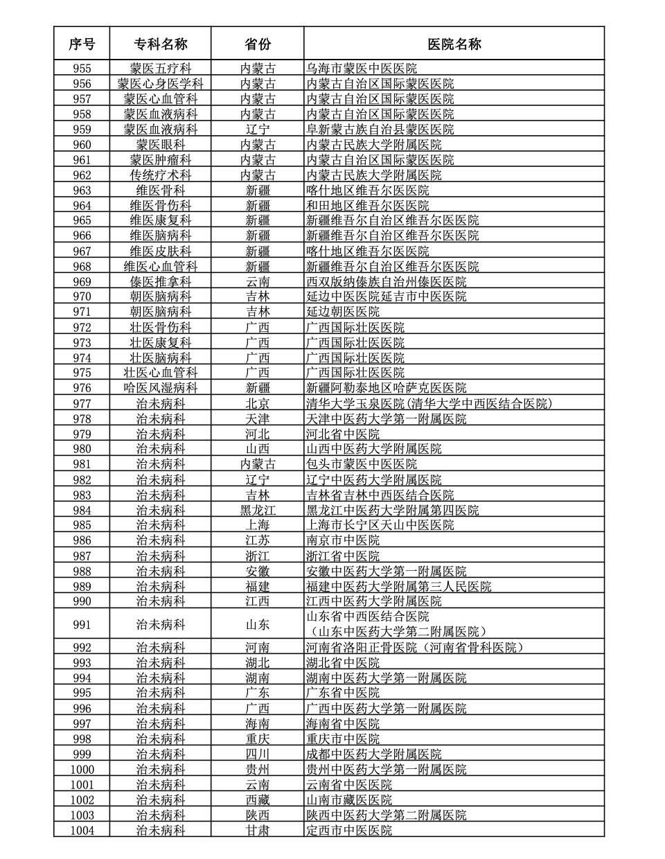
國家中醫優勢??平ㄔO單位名單






















國家中醫優勢??婆嘤龁挝幻麊?/strong>



















